Войти на сайт
(
)
Сборник задач по математике для поступающих в вузы. Группа В. Сканави М.И. (11 класс)
Номер задания
8.474
|
8.475
|
8.476
|
8.477
|
8.478
|
8.479
|
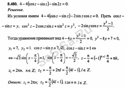
8.480
8.481
|
8.482
|
8.483
|
8.484
|
8.485
|
8.486
|
8.487
8.488
|
8.489
|
8.490
|
8.491
|
8.492
|
8.493
|
8.494
8.495
|
8.496
|
8.497
|
8.498
|
8.499
|
8.500
|
9.216
9.217
|
9.218
|
9.219
|
9.220
|
9.221
|
9.222
|
9.223
9.224
|
9.225
|
9.226
|
9.227
|
9.228
|
9.229
|
9.230
9.231
|
9.232
|
9.233
|
9.234
|
9.235
|
9.236
|
9.237
9.238
|
9.239
|
9.240
|
9.241
|
9.242
|
9.243
|
9.244
9.245
|
9.246
|
9.247
|
9.248
|
9.249
|
9.250
|
9.251
9.252
|
9.253
|
9.254
|
9.255
|
9.256
|
9.257
|
9.258
Далее »
« Назад
Страница:
1
,
2
,
3
...
7
,
8
,
9
...
27
,
28
,
29
Алгебра, 11 Класс
Школьный раздел
Сервисы
|
Главная
(c)
m.sasisa.cc