Войти на сайт
(
)
Сборник задач по математике для поступающих в вузы. Группа В. Сканави М.И. (11 класс)
Номер задания
7.339
|
7.340
|
8.406
|
8.407
|
8.408
|
8.409
|
8.410
8.411
|
8.412
|
8.413
|
8.414
|
8.415
|
8.416
|
8.417
8.418
|
8.419
|
8.420
|
8.421
|
8.422
|
8.423
|
8.424
8.425
|
8.426
|
8.427
|
8.428
|
8.429
|
8.430
|
8.431
8.432
|
8.433
|
8.434
|
8.435
|
8.436
|
8.437
|
8.438
8.439
|
8.440
|
8.441
|
8.442
|
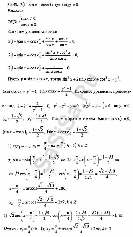
8.443
|
8.444
|
8.445
8.446
|
8.447
|
8.448
|
8.449
|
8.450
|
8.451
|
8.452
8.453
|
8.454
|
8.455
|
8.456
|
8.457
|
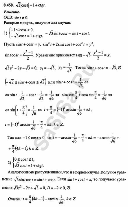
8.458
|
8.459
8.460
|
8.461
|
8.462
|
8.463
|
8.464
|
8.465
|
8.466
8.467
|
8.468
|
8.469
|
8.470
|
8.471
|
8.472
|
8.473
Далее »
« Назад
Страница:
1
,
2
,
3
...
6
,
7
,
8
...
27
,
28
,
29
Алгебра, 11 Класс
Школьный раздел
Сервисы
|
Главная
(c)
m.sasisa.cc