Войти на сайт
(
)
Сборник задач по математике для поступающих в вузы. Группа В. Сканави М.И. (11 класс)
Номер задания
5.039
|
5.040
|
5.041
|
5.042
|
5.043
|
5.044
|
5.045
5.046
|
5.047
|
5.048
|
5.049
|
5.050
|
5.051
|
5.052
5.053
|
5.054
|
5.055
|
5.056
|
5.057
|
5.058
|
5.059
5.060
|
5.061
|
5.062
|
5.063
|
5.064
|
5.065
|
5.066
5.067
|
5.068
|
5.069
|
5.070
|
5.071
|
5.072
|
5.073
5.074
|
5.075
|
5.076
|
5.077
|
5.078
|
5.079
|
5.080
5.081
|
5.082
|
5.083
|
5.084
|
5.085
|
5.086
|
5.087
5.088
|
5.089
|
5.090
|
6.256
|
6.257
|
6.258
|
6.259
6.260
|
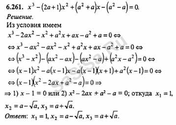
6.261
|
6.262
|
6.263
|
6.264
|
6.265
|
6.266
6.267
|
6.268
|
6.269
|
6.270
|
6.271
|
6.272
|
6.273
Далее »
« Назад
Страница:
1
,
2
,
3
,
4
,
5
...
27
,
28
,
29
Алгебра, 11 Класс
Школьный раздел
Сервисы
|
Главная
(c)
m.sasisa.cc