Войти на сайт
(
)
Сборник задач по математике для поступающих в вузы. Группа В. Сканави М.И. (11 класс)
Номер задания
18.090
|
18.091
|
18.092
|
18.093
|
18.094
|
18.095
|
18.096
18.097
|
18.098
|
18.099
|
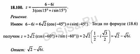
18.100
|
18.101
|
18.102
|
18.103
18.104
|
18.105
|
18.106
|
18.107
|
18.108
|
18.109
|
18.110
18.111
|
18.112
|
18.113
|
18.114
|
18.115
|
18.116
|
18.117
18.118
|
18.119
|
18.120
|
18.121
|
18.122
|
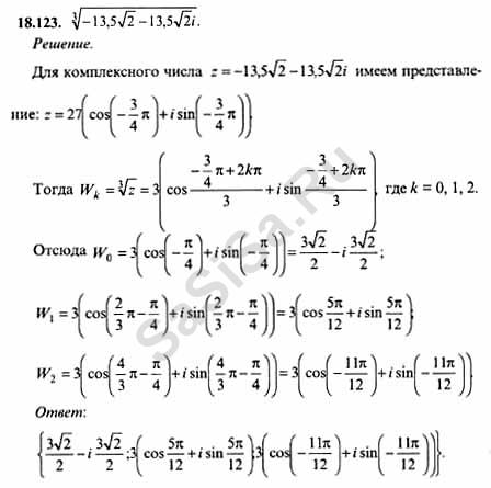
18.123
|
18.124
18.125
|
18.126
|
18.127
|
18.128
|
18.129
|
18.130
|
18.131
18.132
|
18.133
|
18.134
|
18.135
|
18.136
|
18.137
|
18.138
18.139
|
18.140
|
18.141
|
18.142
|
18.143
|
18.144
|
18.145
18.146
|
18.147
|
18.148
|
18.149
|
18.150
|
18.151
|
18.152
18.153
|
18.154
|
18.155
|
18.156
|
18.157
|
18.158
|
18.159
Далее »
« Назад
Страница:
1
,
2
,
3
... ,
27
,
28
,
29
Алгебра, 11 Класс
Школьный раздел
Сервисы
|
Главная
(c)
m.sasisa.cc