Войти на сайт
(
)
Сборник задач по математике для поступающих в вузы. Группа В. Сканави М.И. (11 класс)
Номер задания
18.020
|
18.021
|
18.022
|
18.023
|
18.024
|
18.025
|
18.026
18.027
|
18.028
|
18.029
|
18.030
|
18.031
|
18.032
|
18.033
18.034
|
18.035
|
18.036
|
18.037
|
18.038
|
18.039
|
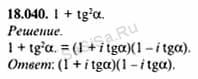
18.040
18.041
|
18.042
|
18.043
|
18.044
|
18.045
|
18.046
|
18.047
18.048
|
18.049
|
18.050
|
18.051
|
18.052
|
18.053
|
18.054
18.055
|
18.056
|
18.057
|
18.058
|
18.059
|
18.060
|
18.061
18.062
|
18.063
|
18.064
|
18.065
|
18.066
|
18.067
|
18.068
18.069
|
18.070
|
18.071
|
18.072
|
18.073
|
18.074
|
18.075
18.076
|
18.077
|
18.078
|
18.079
|
18.080
|
18.081
|
18.082
18.083
|
18.084
|
18.085
|
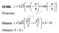
18.086
|
18.087
|
18.088
|
18.089
Далее »
« Назад
Страница:
1
,
2
,
3
...
26
,
27
,
28
,
29
Алгебра, 11 Класс
Школьный раздел
Сервисы
|
Главная
(c)
m.sasisa.cc