Войти на сайт
(
)
Сборник задач по математике для поступающих в вузы. Группа В. Сканави М.И. (11 класс)
Номер задания
3.486
|
3.487
|
3.488
|
3.489
|
3.490
|
3.491
|
3.492
3.493
|
3.494
|
3.495
|
3.496
|
3.497
|
3.498
|
3.499
3.500
|
4.069
|
4.070
|
4.071
|
4.072
|
4.073
|
4.074
4.075
|
4.076
|
4.077
|
4.078
|
4.079
|
4.080
|
4.081
4.082
|
4.083
|
4.084
|
4.085
|
5.001
|
5.002
|
5.003
5.004
|
5.005
|
5.006
|
5.007
|
5.008
|
5.009
|
5.010
5.011
|
5.012
|
5.013
|
5.014
|
5.015
|
5.016
|
5.017
5.018
|
5.019
|
5.020
|
5.021
|
5.022
|
5.023
|
5.024
5.025
|
5.026
|
5.027
|
5.028
|
5.029
|
5.030
|
5.031
5.032
|
5.033
|
5.034
|
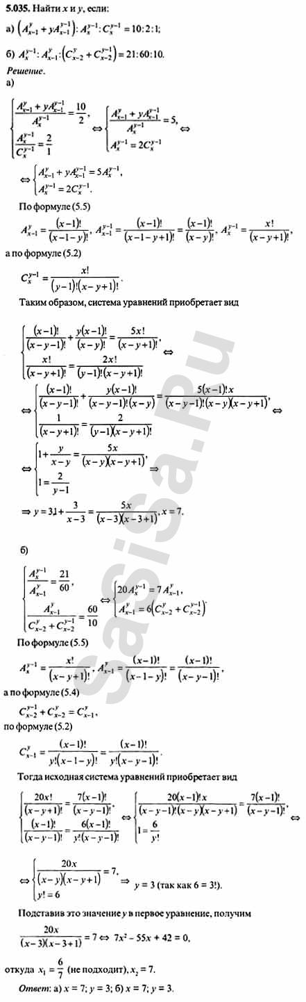
5.035
|
5.036
|
5.037
|
5.038
Далее »
« Назад
Страница:
1
,
2
,
3
,
4
...
27
,
28
,
29
Алгебра, 11 Класс
Школьный раздел
Сервисы
|
Главная
(c)
m.sasisa.cc