Войти на сайт
(
)
Сборник задач по математике для поступающих в вузы. Группа В. Сканави М.И. (11 класс)
Номер задания
2.234
|
2.238
|
2.239
|
2.246
|
2.312
|
2.313
|
2.314
2.315
|
2.316
|
2.317
|
2.318
|
2.319
|
2.320
|
2.321
2.322
|
2.323
|
2.324
|
2.325
|
2.326
|
2.327
|
2.328
2.329
|
2.330
|
2.331
|
2.332
|
2.333
|
2.334
|
2.335
2.336
|
2.337
|
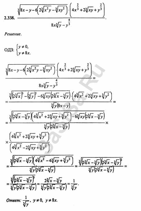
2.338
|
2.339
|
2.340
|
2.341
|
2.342
2.343
|
2.344
|
2.345
|
2.347
|
2.348
|
2.349
|
2.350
2.351
|
2.352
|
2.353
|
2.354
|
2.355
|
2.356
|
2.357
2.358
|
2.360
|
3.396
|
3.397
|
3.398
|
3.399
|
3.400
3.401
|
3.402
|
3.403
|
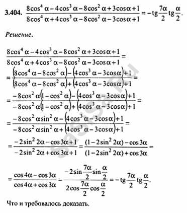
3.404
|
3.405
|
3.406
|
3.407
3.408
|
3.409
|
3.410
|
3.411
|
3.412
|
3.413
|
3.414
Далее »
Страница:
1
,
2
,
3
...
27
,
28
,
29
Алгебра, 11 Класс
Школьный раздел
Сервисы
|
Главная
(c)
m.sasisa.cc