Войти на сайт
(
)
Алгебра и начала анализа. Задачник для 10-11 классов. Мордкович А.Г. (11 класс)
Номер задания
988
|
989
|
990
|
991
|
992
|
993
|
994
995
|
996
|
997
|
998
|
999
|
1000
|
1001
1002
|
1003
|
1004
|
1005
|
1006
|
1007
|
1008
1009
|
1010
|
1011
|
1012
|
1013
|
1014
|
1015
1016
|
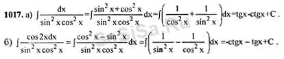
1017
|
1018
|
1019
|
1020
|
1021
|
1022
1023
|
1024
|
1025
|
1026
|
1027
|
1028
|
1029
1030
|
1031
|
1032
|
1033
|
1034
|
1035
|
1036
1037
|
1038
|
1039
|
1040
|
1041
|
1042
|
1043
1044
|
1045
|
1046
|
1047
|
1048
|
1049
|
1050
1051
|
1052
|
1053
|
1054
|
1055
|
1056
|
1057
Далее »
« Назад
Страница:
1
,
2
,
3
...
14
,
15
,
16
...
25
,
26
,
27
Алгебра, 11 Класс
Школьный раздел
Сервисы
|
Главная
(c)
m.sasisa.cc