Войти на сайт
(
)
Алгебра и начала анализа. Задачник для 10-11 классов. Мордкович А.Г. (11 класс)
Номер задания
848
|
849
|
850
|
851
|
852
|
853
|
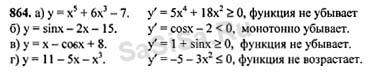
854
855
|
856
|
857
|
858
|
859
|
860
|
861
862
|
863
|
864
|
865
|
866
|
867
|
868
869
|
870
|
871
|
872
|
873
|
874
|
875
876
|
877
|
878
|
879
|
880
|
881
|
882
883
|
884
|
885
|
886
|
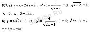
887
|
888
|
889
890
|
891
|
892
|
893
|
894
|
895
|
896
897
|
898
|
899
|
900
|
901
|
902
|
903
904
|
905
|
906
|
907
|
908
|
909
|
910
911
|
912
|
913
|
914
|
915
|
916
|
917
Далее »
« Назад
Страница:
1
,
2
,
3
...
12
,
13
,
14
...
25
,
26
,
27
Алгебра, 11 Класс
Школьный раздел
Сервисы
|
Главная
(c)
m.sasisa.cc