Войти на сайт
(
)
Алгебра и начала анализа. Задачник для 10-11 классов. Мордкович А.Г. (11 класс)
Номер задания
777
|
778
|
779
|
780
|
781
|
782
|
783
784
|
785
|
786
|
787
|
788
|
789
|
790
791
|
792
|
793
|
794
|
795
|
796
|
797
798
|
799
|
800
|
801
|
802
|
803
|
804
805
|
806
|
807
|
808
|
809
|
810
|
811
812
|
813
|
814
|
815
|
816
|
817
|
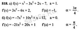
818
819
|
820
|
821
|
822
|
823
|
824
|
825
826
|
827
|
828
|
829
|
830
|
831
|
833
834
|
835
|
836
|
837
|
838
|
839
|
840
841
|
842
|
843
|
844
|
845
|
846
|
847
Далее »
« Назад
Страница:
1
,
2
,
3
...
11
,
12
,
13
...
25
,
26
,
27
Алгебра, 11 Класс
Школьный раздел
Сервисы
|
Главная
(c)
m.sasisa.cc