Войти на сайт
(
)
Алгебра и начала анализа. Задачник для 10-11 классов. Мордкович А.Г. (11 класс)
Номер задания
706
|
707
|
708
|
709
|
710
|
711
|
712
713
|
714
|
715
|
716
|
717
|
718
|
719
720
|
721
|
722
|
723
|
724
|
725
|
726
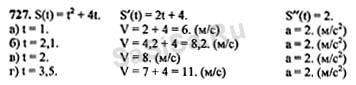
727
|
728
|
729
|
730
|
731
|
732
|
733
734
|
735
|
736
|
738
|
739
|
740
|
741
742
|
743
|
744
|
745
|
746
|
747
|
748
749
|
750
|
751
|
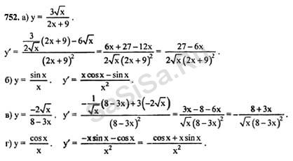
752
|
753
|
754
|
755
756
|
757
|
758
|
759
|
760
|
761
|
762
763
|
764
|
765
|
766
|
767
|
768
|
769
770
|
771
|
772
|
773
|
774
|
775
|
776
Далее »
« Назад
Страница:
1
,
2
,
3
...
10
,
11
,
12
...
25
,
26
,
27
Алгебра, 11 Класс
Школьный раздел
Сервисы
|
Главная
(c)
m.sasisa.cc