Войти на сайт
(
)
Алгебра и начала анализа. Задачник для 10-11 классов. Мордкович А.Г. (11 класс)
Номер задания
493
|
494
|
495
|
496
|
497
|
498
|
499
500
|
501
|
502
|
503
|
504
|
505
|
506
507
|
508
|
509
|
510
|
511
|
512
|
514
515
|
516
|
517
|
518
|
519
|
520
|
521
522
|
523
|
524
|
525
|
526
|
527
|
528
529
|
530
|
531
|
532
|
533
|
534
|
535
536
|
537
|
538
|
539
|
540
|
541
|
542
543
|
544
|
545
|
546
|
547
|
548
|
549
550
|
551
|
553
|
554
|
555
|
556
|
557
558
|
559
|
560
|
561
|
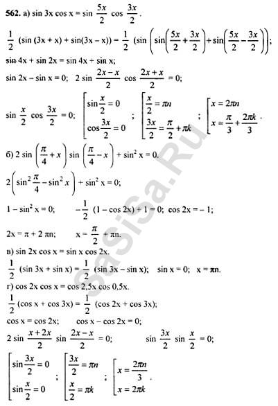
562
|
563
|
564
Далее »
« Назад
Страница:
1
,
2
,
3
...
7
,
8
,
9
...
25
,
26
,
27
Алгебра, 11 Класс
Школьный раздел
Сервисы
|
Главная
(c)
m.sasisa.cc