Войти на сайт
(
)
Алгебра и начала анализа. Задачник для 10-11 классов. Мордкович А.Г. (11 класс)
Номер задания
352
|
353
|
354
|
355
|
356
|
357
|
358
359
|
360
|
361
|
362
|
363
|
364
|
365
366
|
367
|
368
|
369
|
370
|
371
|
372
373
|
374
|
375
|
376
|
377
|
378
|
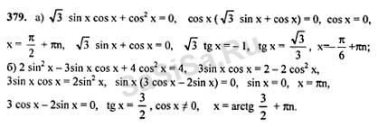
379
380
|
381
|
382
|
383
|
384
|
385
|
386
387
|
388
|
389
|
390
|
391
|
393
|
394
395
|
396
|
397
|
398
|
399
|
400
|
401
402
|
403
|
404
|
405
|
406
|
407
|
408
409
|
410
|
411
|
412
|
413
|
414
|
415
416
|
417
|
418
|
419
|
420
|
421
|
422
Далее »
« Назад
Страница:
1
,
2
,
3
...
5
,
6
,
7
...
25
,
26
,
27
Алгебра, 11 Класс
Школьный раздел
Сервисы
|
Главная
(c)
m.sasisa.cc