Войти на сайт
(
)
Алгебра и начала анализа. Задачник для 10-11 классов. Мордкович А.Г. (11 класс)
Номер задания
211
|
212
|
213
|
214
|
215
|
216
|
217
218
|
219
|
220
|
221
|
222
|
223
|
224
225
|
226
|
227
|
228
|
229
|
230
|
231
232
|
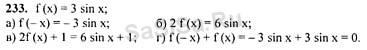
233
|
234
|
235
|
236
|
237
|
238
239
|
240
|
241
|
242
|
243
|
244
|
246
247
|
248
|
249
|
250
|
251
|
252
|
253
254
|
255
|
256
|
257
|
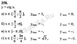
258
|
259
|
260
261
|
262
|
263
|
264
|
265
|
266
|
267
268
|
269
|
270
|
271
|
272
|
273
|
274
275
|
276
|
277
|
278
|
279
|
280
|
281
Далее »
« Назад
Страница:
1
,
2
,
3
,
4
,
5
...
25
,
26
,
27
Алгебра, 11 Класс
Школьный раздел
Сервисы
|
Главная
(c)
m.sasisa.cc