Войти на сайт
(
)
Алгебра и начала анализа. Задачник для 10-11 классов. Мордкович А.Г. (11 класс)
Номер задания
1551
|
1552
|
1553
|
1554
|
1555
|
1556
|
1557
1558
|
1559
|
1560
|
1561
|
1562
|
1563
|
1564
1565
|
1566
|
1567
|
1568
|
1569
|
1570
|
1571
1572
|
1573
|
1574
|
1575
|
1576
|
1577
|
1578
1579
|
1580
|
1581
|
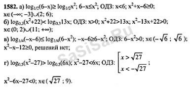
1582
|
1583
|
1584
|
1585
1586
|
1587
|
1588
|
1589
|
1590
|
1591
|
1592
1593
|
1594
|
1595
|
1596
|
1597
|
1598
|
1599
1600
|
1601
|
1602
|
1603
|
1604
|
1605
|
1606
1607
|
1608
|
1609
|
1610
|
1611
|
1612
|
1613
1614
|
1615
|
1616
|
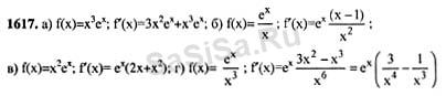
1617
|
1618
|
1619
|
1620
Далее »
« Назад
Страница:
1
,
2
,
3
...
22
,
23
,
24
,
25
,
26
,
27
Алгебра, 11 Класс
Школьный раздел
Сервисы
|
Главная
(c)
m.sasisa.cc