Войти на сайт
(
)
Алгебра и начала анализа. Задачник для 10-11 классов. Мордкович А.Г. (11 класс)
Номер задания
1339
|
1340
|
1341
|
1342
|
1343
|
1344
|
1345
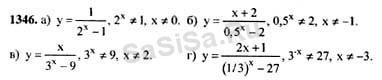
1346
|
1347
|
1348
|
1349
|
1350
|
1351
|
1352
1353
|
1354
|
1355
|
1356
|
1357
|
1358
|
1359
1360
|
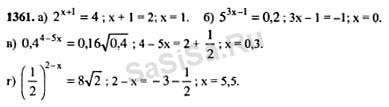
1361
|
1362
|
1363
|
1364
|
1365
|
1366
1367
|
1368
|
1369
|
1370
|
1371
|
1372
|
1373
1374
|
1375
|
1376
|
1377
|
1378
|
1379
|
1380
1381
|
1382
|
1383
|
1384
|
1385
|
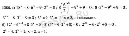
1386
|
1387
1388
|
1389
|
1390
|
1391
|
1392
|
1393
|
1394
1395
|
1396
|
1398
|
1399
|
1400
|
1401
|
1402
1403
|
1404
|
1405
|
1406
|
1407
|
1408
|
1409
Далее »
« Назад
Страница:
1
,
2
,
3
...
19
,
20
,
21
...
25
,
26
,
27
Алгебра, 11 Класс
Школьный раздел
Сервисы
|
Главная
(c)
m.sasisa.cc