Войти на сайт
(
)
Алгебра и начала анализа. Задачник для 10-11 классов. Мордкович А.Г. (11 класс)
Номер задания
1268
|
1269
|
1270
|
1271
|
1272
|
1273
|
1274
1275
|
1276
|
1277
|
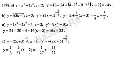
1278
|
1279
|
1280
|
1281
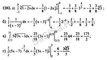
1282
|
1283
|
1284
|
1285
|
1286
|
1287
|
1288
1289
|
1290
|
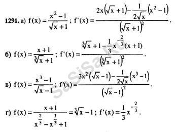
1291
|
1292
|
1293
|
1294
|
1295
1296
|
1297
|
1298
|
1299
|
1300
|
1301
|
1302
1303
|
1304
|
1305
|
1306
|
1307
|
1308
|
1309
1310
|
1311
|
1312
|
1313
|
1314
|
1315
|
1316
1317
|
1318
|
1319
|
1320
|
1321
|
1322
|
1323
1324
|
1325
|
1326
|
1328
|
1329
|
1330
|
1331
1332
|
1333
|
1334
|
1335
|
1336
|
1337
|
1338
Далее »
« Назад
Страница:
1
,
2
,
3
...
18
,
19
,
20
...
25
,
26
,
27
Алгебра, 11 Класс
Школьный раздел
Сервисы
|
Главная
(c)
m.sasisa.cc