Войти на сайт
(
)
Алгебра и начала анализа 10-11 класс. Алимов Ш.А. (11 класс)
Номер задания
715
|
716
|
717
|
718
|
719
|
720
|
721
722
|
723
|
724
|
725
|
726
|
727
|
728
729
|
730
|
731
|
732
|
733
|
734
|
735
736
|
737
|
738
|
739
|
740
|
741
|
742
743
|
744
|
745
|
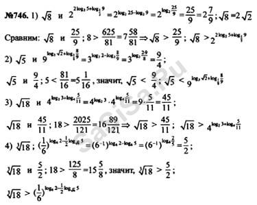
746
|
747
|
748
|
749
750
|
751
|
752
|
753
|
754
|
755
|
756
757
|
758
|
759
|
760
|
761
|
762
|
764
765
|
766
|
767
|
768
|
769
|
770
|
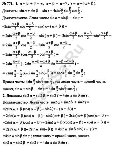
771
772
|
773
|
774
|
775
|
776
|
777
|
778
779
|
780
|
781
|
782
|
783
|
784
|
785
Далее »
« Назад
Страница:
1
,
2
,
3
...
10
,
11
,
12
,
13
,
14
Алгебра, 11 Класс
Школьный раздел
Сервисы
|
Главная
(c)
m.sasisa.cc