Войти на сайт
(
)
Алгебра и начала анализа 10-11 класс. Алимов Ш.А. (11 класс)
Номер задания
435
|
436
|
437
|
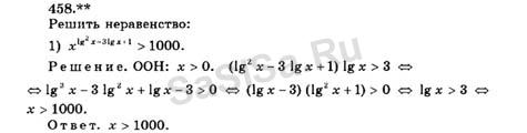
438
|
439
|
440
|
441
442
|
443
|
444
|
445
|
446
|
447
|
448
449
|
450
|
451
|
452
|
453
|
454
|
455
456
|
457
|
458
|
459
|
460
|
461
|
462
463
|
464
|
465
|
466
|
467
|
468
|
469
470
|
471
|
472
|
473
|
474
|
475
|
476
477
|
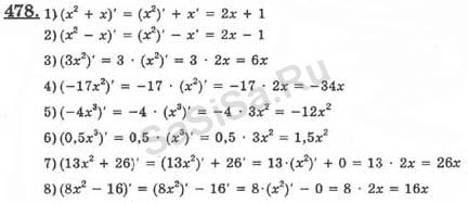
478
|
479
|
480
|
481
|
482
|
483
484
|
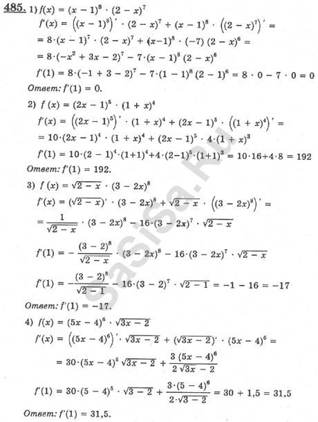
485
|
486
|
487
|
488
|
489
|
490
491
|
492
|
493
|
494
|
495
|
496
|
497
498
|
499
|
500
|
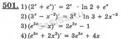
501
|
502
|
503
|
504
Далее »
« Назад
Страница:
1
,
2
,
3
...
6
,
7
,
8
...
12
,
13
,
14
Алгебра, 11 Класс
Школьный раздел
Сервисы
|
Главная
(c)
m.sasisa.cc