Войти на сайт
(
)
Сборник задач по физике для 10-11 классов. Степанова Г.Н. (10 класс)
Номер задания
921
|
922
|
923
|
924
|
925
|
926
|
927
928
|
929
|
930
|
931
|
932
|
933
|
934
935
|
936
|
937
|
938
|
939
|
940
|
941
942
|
944
|
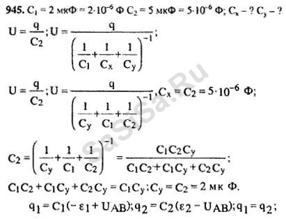
945
|
946
|
947
|
948
|
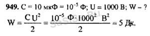
949
950
|
951
|
952
|
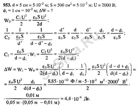
953
|
954
|
955
|
956
957
|
959
|
960
|
961
|
962
|
963
|
964
965
|
966
|
967
|
968
|
969
|
970
|
971
973
|
975
|
976
|
977
|
978
|
979
|
980
981
|
982
|
983
|
984
|
985
|
986
|
987
988
|
993
|
994
|
995
|
996
|
997
|
998
Далее »
« Назад
Страница:
1
,
2
,
3
...
13
,
14
,
15
...
24
,
25
,
26
Физика, 10 Класс
Школьный раздел
Сервисы
|
Главная
(c)
m.sasisa.cc