Войти на сайт
(
)
Сборник задач по физике для 10-11 классов. Степанова Г.Н. (10 класс)
Номер задания
851
|
852
|
853
|
854
|
855
|
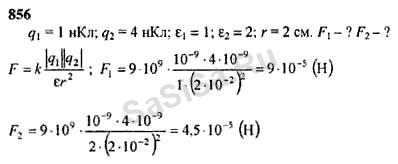
856
|
857
858
|
859
|
860
|
861
|
862
|
863
|
864
865
|
866
|
867
|
868
|
869
|
870
|
871
872
|
873
|
874
|
875
|
876
|
877
|
878
879
|
880
|
881
|
882
|
883
|
884
|
885
886
|
887
|
888
|
889
|
890
|
891
|
892
893
|
894
|
895
|
896
|
897
|
898
|
899
900
|
901
|
902
|
903
|
904
|
905
|
906
907
|
908
|
909
|
910
|
911
|
912
|
913
914
|
915
|
916
|
917
|
918
|
919
|
920
Далее »
« Назад
Страница:
1
,
2
,
3
...
12
,
13
,
14
...
24
,
25
,
26
Физика, 10 Класс
Школьный раздел
Сервисы
|
Главная
(c)
m.sasisa.cc