Войти на сайт
(
)
Сборник задач по физике для 10-11 классов. Степанова Г.Н. (10 класс)
Номер задания
781
|
782
|
783
|
784
|
785
|
786
|
787
788
|
789
|
790
|
791
|
792
|
793
|
794
795
|
796
|
797
|
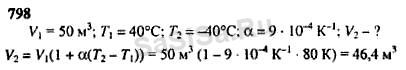
798
|
799
|
800
|
801
802
|
803
|
804
|
805
|
806
|
807
|
808
809
|
810
|
811
|
812
|
813
|
814
|
815
816
|
817
|
818
|
819
|
820
|
821
|
822
823
|
824
|
825
|
826
|
827
|
828
|
829
830
|
831
|
832
|
833
|
834
|
835
|
836
837
|
838
|
839
|
840
|
841
|
842
|
843
844
|
845
|
846
|
847
|
848
|
849
|
850
Далее »
« Назад
Страница:
1
,
2
,
3
...
11
,
12
,
13
...
24
,
25
,
26
Физика, 10 Класс
Школьный раздел
Сервисы
|
Главная
(c)
m.sasisa.cc