Войти на сайт
(
)
Сборник задач по физике для 10-11 классов. Степанова Г.Н. (10 класс)
Номер задания
496
|
497
|
498
|
499
|
500
|
501
|
502
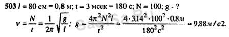
503
|
504
|
505
|
506
|
507
|
508
|
509
510
|
511
|
512
|
513
|
514
|
515
|
516
517
|
518
|
519
|
520
|
521
|
522
|
523
524
|
525
|
526
|
527
|
528
|
529
|
530
531
|
532
|
533
|
534
|
536
|
537
|
538
539
|
540
|
541
|
542
|
543
|
544
|
545
546
|
547
|
548
|
549
|
550
|
551
|
552
553
|
554
|
555
|
556
|
557
|
558
|
559
560
|
561
|
562
|
563
|
564
|
565
|
566
Далее »
« Назад
Страница:
1
,
2
,
3
...
7
,
8
,
9
...
24
,
25
,
26
Физика, 10 Класс
Школьный раздел
Сервисы
|
Главная
(c)
m.sasisa.cc