Войти на сайт
(
)
Сборник задач по физике для 10-11 классов. Степанова Г.Н. (10 класс)
Номер задания
1700
|
1701
|
1702
|
1703
|
1704
|
1705
|
1706
1707
|
1708
|
1709
|
1710
|
1711
|
1712
|
1713
1714
|
1715
|
1716
|
1717
|
1718
|
1719
|
1720
1721
|
1722
|
1723
|
1724
|
1725
|
1726
|
1727
1728
|
1729
|
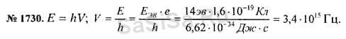
1730
|
1731
|
1732
|
1733
|
1734
1735
|
1736
|
1737
|
1738
|
1739
|
1740
|
1741
1742
|
1743
|
1744
|
1745
|
1746
|
1747
|
1748
1749
|
1750
|
1751
|
1752
|
1753
|
1754
|
1755
1756
|
1757
|
1758
|
1759
|
1760
|
1761
|
1762
1763
|
1765
|
1766
|
1767
|
1768
|
1769
|
1770
Далее »
« Назад
Страница:
1
,
2
,
3
... ,
24
,
25
,
26
Физика, 10 Класс
Школьный раздел
Сервисы
|
Главная
(c)
m.sasisa.cc