Войти на сайт
(
)
Сборник задач по физике для 10-11 классов. Степанова Г.Н. (10 класс)
Номер задания
1560
|
1561
|
1562
|
1563
|
1564
|
1565
|
1566
1567
|
1568
|
1569
|
1570
|
1571
|
1572
|
1573
1574
|
1575
|
1576
|
1577
|
1578
|
1579
|
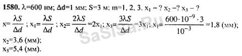
1580
1581
|
1582
|
1583
|
1584
|
1585
|
1586
|
1587
1588
|
1589
|
1590
|
1591
|
1592
|
1593
|
1594
1595
|
1596
|
1597
|
1598
|
1599
|
1600
|
1601
1602
|
1603
|
1604
|
1605
|
1606
|
1607
|
1608
1609
|
1610
|
1611
|
1612
|
1613
|
1614
|
1615
1616
|
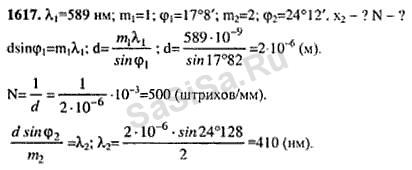
1617
|
1618
|
1619
|
1620
|
1621
|
1622
1623
|
1624
|
1625
|
1626
|
1627
|
1628
|
1629
Далее »
« Назад
Страница:
1
,
2
,
3
...
22
,
23
,
24
,
25
,
26
Физика, 10 Класс
Школьный раздел
Сервисы
|
Главная
(c)
m.sasisa.cc