Войти на сайт
(
)
Сборник задач по физике для 10-11 классов. Степанова Г.Н. (10 класс)
Номер задания
1420
|
1421
|
1422
|
1423
|
1424
|
1425
|
1426
1427
|
1428
|
1429
|
1430
|
1431
|
1432
|
1433
1434
|
1435
|
1436
|
1437
|
1438
|
1439
|
1440
1441
|
1442
|
1443
|
1444
|
1445
|
1446
|
1447
1448
|
1449
|
1450
|
1451
|
1452
|
1453
|
1454
1455
|
1456
|
1457
|
1458
|
1459
|
1460
|
1461
1462
|
1463
|
1464
|
1465
|
1466
|
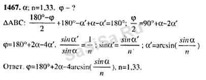
1467
|
1468
1469
|
1470
|
1471
|
1472
|
1473
|
1474
|
1475
1476
|
1477
|
1478
|
1479
|
1480
|
1481
|
1482
1483
|
1484
|
1485
|
1486
|
1487
|
1488
|
1489
Далее »
« Назад
Страница:
1
,
2
,
3
...
20
,
21
,
22
...
24
,
25
,
26
Физика, 10 Класс
Школьный раздел
Сервисы
|
Главная
(c)
m.sasisa.cc