Войти на сайт
(
)
Алгебра и начала анализа. Задачник для 10-11 классов. Мордкович А.Г. (10 класс)
Номер задания
918
|
919
|
920
|
921
|
922
|
923
|
924
925
|
926
|
927
|
928
|
929
|
930
|
931
932
|
933
|
934
|
935
|
936
|
937
|
938
939
|
940
|
941
|
942
|
943
|
944
|
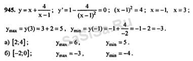
945
946
|
947
|
948
|
949
|
950
|
951
|
952
953
|
954
|
955
|
956
|
957
|
958
|
959
960
|
961
|
962
|
963
|
964
|
965
|
966
967
|
968
|
969
|
970
|
971
|
972
|
973
974
|
975
|
976
|
977
|
978
|
979
|
980
981
|
982
|
983
|
984
|
985
|
986
|
987
Далее »
« Назад
Страница:
1
,
2
,
3
...
13
,
14
,
15
...
25
,
26
,
27
Алгебра, 10 Класс
Школьный раздел
Сервисы
|
Главная
(c)
m.sasisa.cc