Войти на сайт
(
)
Алгебра и начала анализа. Задачник для 10-11 классов. Мордкович А.Г. (10 класс)
Номер задания
1833
|
1834
|
1835
|
1836
|
1837
|
1838
|
1839
1840
|
1841
|
1842
|
1843
|
1844
|
1845
|
1846
1847
|
1848
|
1849
|
1850
|
1851
|
1852
|
1853
1854
|
1855
|
1856
|
1857
|
1858
|
1859
|
1860
1861
|
1862
|
1863
|
1864
|
1865
|
1866
|
1867
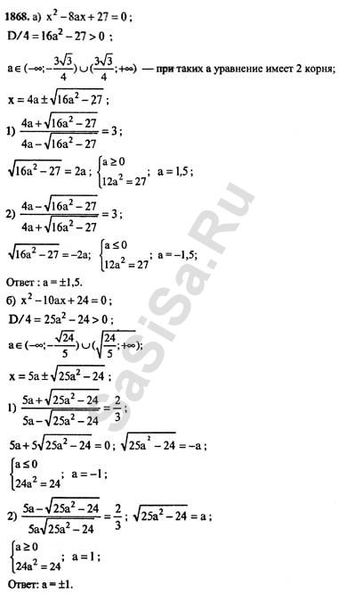
1868
|
1869
|
1870
|
1871
|
1872
|
1873
|
1874
1875
|
1876
|
1877
|
1878
|
1879
|
1880
|
« Назад
Страница:
1
,
2
,
3
...
25
,
26
,
27
Алгебра, 10 Класс
Школьный раздел
Сервисы
|
Главная
(c)
m.sasisa.cc