Войти на сайт
(
)
Алгебра и начала анализа. Задачник для 10-11 классов. Мордкович А.Г. (10 класс)
Номер задания
1691
|
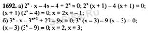
1692
|
1693
|
1694
|
1695
|
1696
|
1697
1698
|
1699
|
1700
|
1701
|
1702
|
1703
|
1704
1705
|
1706
|
1707
|
1708
|
1709
|
1710
|
1711
1712
|
1713
|
1714
|
1715
|
1716
|
1717
|
1718
1719
|
1720
|
1721
|
1722
|
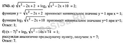
1723
|
1724
|
1725
1726
|
1727
|
1728
|
1729
|
1730
|
1731
|
1732
1733
|
1734
|
1735
|
1736
|
1737
|
1738
|
1739
1740
|
1741
|
1742
|
1743
|
1744
|
1745
|
1746
1747
|
1748
|
1749
|
1750
|
1751
|
1752
|
1753
1754
|
1755
|
1756
|
1757
|
1758
|
1759
|
1760
Далее »
« Назад
Страница:
1
,
2
,
3
...
24
,
25
,
26
,
27
Алгебра, 10 Класс
Школьный раздел
Сервисы
|
Главная
(c)
m.sasisa.cc