Войти на сайт
(
)
Алгебра и начала анализа. Задачник для 10-11 классов. Мордкович А.Г. (10 класс)
Номер задания
1621
|
1622
|
1623
|
1624
|
1625
|
1626
|
1627
1628
|
1629
|
1630
|
1631
|
1632
|
1633
|
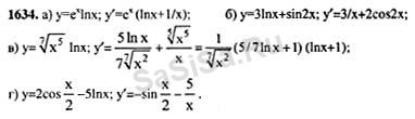
1634
1635
|
1636
|
1637
|
1638
|
1639
|
1640
|
1641
1642
|
1643
|
1644
|
1645
|
1646
|
1647
|
1648
1649
|
1650
|
1651
|
1652
|
1653
|
1654
|
1655
1656
|
1657
|
1658
|
1659
|
1660
|
1661
|
1662
1663
|
1664
|
1665
|
1666
|
1667
|
1668
|
1669
1670
|
1671
|
1672
|
1673
|
1674
|
1675
|
1676
1677
|
1678
|
1679
|
1680
|
1681
|
1682
|
1683
1684
|
1685
|
1686
|
1687
|
1688
|
1689
|
1690
Далее »
« Назад
Страница:
1
,
2
,
3
...
23
,
24
,
25
,
26
,
27
Алгебра, 10 Класс
Школьный раздел
Сервисы
|
Главная
(c)
m.sasisa.cc