Войти на сайт
(
)
Алгебра и начала анализа. Задачник для 10-11 классов. Мордкович А.Г. (10 класс)
Номер задания
1481
|
1482
|
1483
|
1484
|
1485
|
1486
|
1487
1488
|
1489
|
1490
|
1491
|
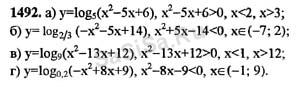
1492
|
1493
|
1494
1495
|
1496
|
1497
|
1498
|
1499
|
1500
|
1501
1502
|
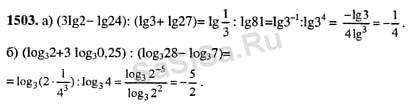
1503
|
1504
|
1505
|
1506
|
1507
|
1508
1509
|
1510
|
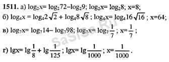
1511
|
1512
|
1513
|
1514
|
1515
1516
|
1517
|
1518
|
1519
|
1520
|
1521
|
1522
1523
|
1524
|
1525
|
1526
|
1527
|
1528
|
1529
1530
|
1531
|
1532
|
1533
|
1534
|
1535
|
1536
1537
|
1538
|
1539
|
1540
|
1541
|
1542
|
1543
1544
|
1545
|
1546
|
1547
|
1548
|
1549
|
1550
Далее »
« Назад
Страница:
1
,
2
,
3
...
21
,
22
,
23
...
25
,
26
,
27
Алгебра, 10 Класс
Школьный раздел
Сервисы
|
Главная
(c)
m.sasisa.cc