Войти на сайт
(
)
Алгебра и начала анализа. Задачник для 10-11 классов. Мордкович А.Г. (10 класс)
Номер задания
1410
|
1411
|
1412
|
1413
|
1414
|
1415
|
1416
1417
|
1418
|
1419
|
1420
|
1421
|
1422
|
1423
1424
|
1426
|
1427
|
1428
|
1429
|
1430
|
1431
1432
|
1433
|
1434
|
1435
|
1436
|
1437
|
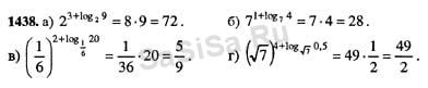
1438
1439
|
1440
|
1441
|
1442
|
1443
|
1444
|
1445
1446
|
1447
|
1448
|
1449
|
1450
|
1451
|
1452
1453
|
1454
|
1455
|
1456
|
1457
|
1458
|
1459
1460
|
1461
|
1462
|
1463
|
1464
|
1465
|
1466
1467
|
1468
|
1469
|
1470
|
1471
|
1472
|
1473
1474
|
1475
|
1476
|
1477
|
1478
|
1479
|
1480
Далее »
« Назад
Страница:
1
,
2
,
3
...
20
,
21
,
22
...
25
,
26
,
27
Алгебра, 10 Класс
Школьный раздел
Сервисы
|
Главная
(c)
m.sasisa.cc