Войти на сайт
(
)
Алгебра и начала анализа. Задачник для 10-11 классов. Мордкович А.Г. (10 класс)
Номер задания
1198
|
1199
|
1200
|
1201
|
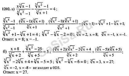
1202
|
1203
|
1204
1205
|
1206
|
1207
|
1208
|
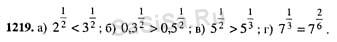
1209
|
1210
|
1211
1212
|
1213
|
1214
|
1215
|
1216
|
1217
|
1218
1219
|
1220
|
1221
|
1222
|
1223
|
1224
|
1225
1226
|
1227
|
1228
|
1229
|
1230
|
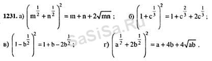
1231
|
1232
1233
|
1234
|
1235
|
1236
|
1237
|
1238
|
1239
1240
|
1241
|
1242
|
1243
|
1244
|
1245
|
1246
1247
|
1248
|
1249
|
1250
|
1251
|
1252
|
1253
1254
|
1255
|
1256
|
1257
|
1258
|
1259
|
1260
1261
|
1262
|
1263
|
1264
|
1265
|
1266
|
1267
Далее »
« Назад
Страница:
1
,
2
,
3
...
17
,
18
,
19
...
25
,
26
,
27
Алгебра, 10 Класс
Школьный раздел
Сервисы
|
Главная
(c)
m.sasisa.cc