Войти на сайт
(
)
Алгебра и начала анализа. Задачник для 10-11 классов. Мордкович А.Г. (10 класс)
Номер задания
1128
|
1129
|
1130
|
1131
|
1132
|
1133
|
1134
1135
|
1136
|
1137
|
1138
|
1139
|
1140
|
1141
1142
|
1143
|
1144
|
1145
|
1146
|
1147
|
1148
1149
|
1150
|
1151
|
1152
|
1153
|
1154
|
1155
1156
|
1157
|
1158
|
1159
|
1160
|
1161
|
1162
1163
|
1164
|
1165
|
1166
|
1167
|
1168
|
1169
1170
|
1171
|
1172
|
1173
|
1174
|
1175
|
1176
1177
|
1178
|
1179
|
1180
|
1181
|
1182
|
1183
1184
|
1185
|
1186
|
1187
|
1188
|
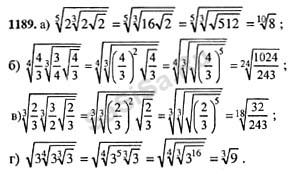
1189
|
1190
1191
|
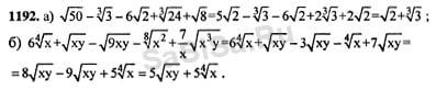
1192
|
1193
|
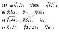
1194
|
1195
|
1196
|
1197
Далее »
« Назад
Страница:
1
,
2
,
3
...
16
,
17
,
18
...
25
,
26
,
27
Алгебра, 10 Класс
Школьный раздел
Сервисы
|
Главная
(c)
m.sasisa.cc