Войти на сайт ( )
Алгебра и начала анализа 10-11 класс. Колмогоров А.Н. (10 класс)
Нумерация упражнений в учебнике с 1 по 380 - 10 класс, с 381 по 577 - 11 класс. После каждой главы и в конце учебника есть вопросы и задачи на повторение ответы на них даны в конце списка.
284 | 285 | 286 | 287 | 288 | 289 | 290
291 | 292 | 293 | 294 | 295 | 296 | 297
298 | 299 | 300 | 301 | 302 | 303 | 304
305 | 306 | 307 | 308 | 309 | 310 | 311
312 | 313 | 314 | 315 | 316 | 317 | 318
319 | 320 | 321 | 322 | 323 | 324 | 325
326 | 327 | 328 | 329 | 330 | 331 | 332
333 | 334 | 335 | 336 | 337 | 338 | 339
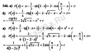
340 | 341 | 342 | 343 | 344 | 345 | 346
347 | 348 | 349 | 350 | 351 | 352 | 353

Далее »
« Назад
Страница: 1, 2, 3, 4, 5, 6 ... 11, 12, 13
Алгебра, 10 Класс
Школьный раздел
Сервисы | Главная
(c) m.sasisa.cc