Войти на сайт
(
)
Алгебра и начала анализа 10-11 класс. Алимов Ш.А. (10 класс)
Номер задания
786
|
787
|
788
|
789
|
790
|
791
|
792
793
|
794
|
795
|
796
|
797
|
798
|
799
800
|
801
|
802
|
803
|
804
|
805
|
806
807
|
808
|
809
|
810
|
811
|
812
|
813
814
|
815
|
816
|
817
|
818
|
819
|
820
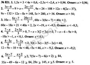
821
|
822
|
823
|
824
|
825
|
826
|
827
828
|
829
|
830
|
831
|
832
|
833
|
834
835
|
836
|
837
|
838
|
839
|
840
|
841
842
|
843
|
844
|
845
|
846
|
847
|
848
849
|
850
|
851
|
852
|
853
|
854
|
855
Далее »
« Назад
Страница:
1
,
2
,
3
...
11
,
12
,
13
,
14
Алгебра, 10 Класс
Школьный раздел
Сервисы
|
Главная
(c)
m.sasisa.cc