Войти на сайт
(
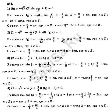
)
Алгебра и начала анализа 10-11 класс. Алимов Ш.А. (10 класс)
Номер задания
220
|
221
|
222
|
223
|
224
|
225
|
226
227
|
228
|
229
|
230
|
231
|
233
|
234
235
|
236
|
237
|
238
|
239
|
240
|
241
243
|
244
|
245
|
246
|
247
|
248
|
249
250
|
251
|
252
|
253
|
254
|
255
|
256
257
|
258
|
259
|
260
|
261
|
262
|
263
264
|
265
|
266
|
267
|
268
|
269
|
270
271
|
272
|
273
|
274
|
275
|
276
|
277
278
|
279
|
280
|
281
|
282
|
283
|
284
285
|
286
|
287
|
288
|
289
|
290
|
291
Далее »
« Назад
Страница:
1
,
2
,
3
,
4
,
5
...
12
,
13
,
14
Алгебра, 10 Класс
Школьный раздел
Сервисы
|
Главная
(c)
m.sasisa.cc