Войти на сайт
(
)
Алгебра и начала анализа 10-11 класс. Алимов Ш.А. (10 класс)
Номер задания
149
|
150
|
151
|
152
|
153
|
154
|
155
156
|
157
|
158
|
159
|
160
|
161
|
162
163
|
164
|
165
|
166
|
167
|
168
|
169
170
|
171
|
172
|
173
|
174
|
175
|
176
177
|
178
|
179
|
180
|
181
|
182
|
183
184
|
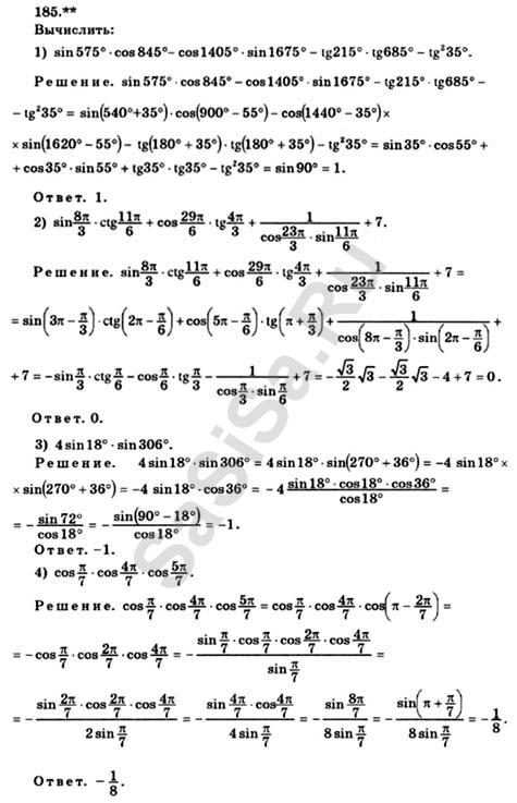
185
|
186
|
187
|
188
|
189
|
190
191
|
192
|
193
|
194
|
195
|
196
|
197
198
|
199
|
200
|
201
|
202
|
203
|
204
205
|
206
|
207
|
208
|
209
|
210
|
211
212
|
213
|
214
|
215
|
216
|
218
|
219
Далее »
« Назад
Страница:
1
,
2
,
3
,
4
...
12
,
13
,
14
Алгебра, 10 Класс
Школьный раздел
Сервисы
|
Главная
(c)
m.sasisa.cc