Войти на сайт
(
)
Геометрия 7-9 класс. Атанасян Л.С. (9 класс)
Номер задания
401
|
402
|
403
|
404
|
405
|
406
|
407
408
|
409
|
410
|
411
|
412
|
413
|
414
415
|
416
|
417
|
418
|
419
|
420
|
421
422
|
423
|
424
|
425
|
426
|
427
|
428
429
|
430
|
431
|
432
|
433
|
434
|
435
436
|
437
|
438
|
439
|
440
|
441
|
442
443
|
444
|
445
|
446
|
447
|
448
|
449
450
|
451
|
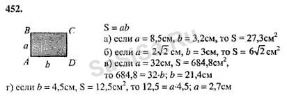
452
|
453
|
454
|
455
|
456
457
|
458
|
459
|
460
|
462
|
463
|
464
465
|
466
|
467
|
468
|
469
|
470
|
471
Далее »
« Назад
Страница:
1
,
2
,
3
...
5
,
6
,
7
...
12
,
13
,
14
Геометрия, 9 Класс
Школьный раздел
Сервисы
|
Главная
(c)
m.sasisa.cc